金渐成金渐成

为未来撒下种子

金渐成原创英伟达科技股美股投资体系原文

cover_image

为未来撒下种子~

在投资上的一些操作,刚入门的人经常看不懂,今天展开做一些解读。

我买入个股时,喜欢选好“第一兼唯一”的个股,逢跌分批买入,逢高分批卖出。

如英伟达110、100、95、86美元买入,越低时买得越多;175、180、185、190、195、200美元时,分批合计卖出30%;

有人不理解为什么不在86美元和200美元时再买卖,而要从110和175时开始买卖。这其实就一句话:

先做确定性强的事,先拿到确定性强的结果。

市场无法预测,因此当目标进入击球点时,就先击球,之后再根据市场的具体走势拿到自己想要的结果。

这段时间持仓的调整(个股的精减、不同风格账户的占比等)、防守型和稳健型账户的重点增配,是根据个人情况做的一次优化:

不把所有鸡蛋放在一个篮子里,但也不要过分分散;进取、稳健、防守账户资金的配比,符合“最优下注比例”,能让资金长期以最快的速度指数增长,同时又最大程度弱化风险。

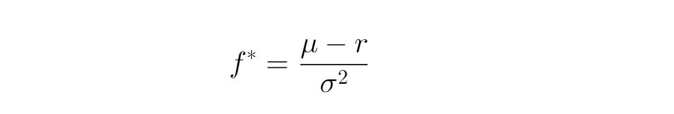
在金融投资中,结果往往不是简单的“赢”或“输”,而是有一个连续的收益率分布。因此,用凯利公式来表达,投资中更通用的形式是:

f* : 投资于风险资产的最优资金比例。

μ : 风险资产的预期收益率。

r : 无风险利率(例如国债/美债利息)。

σ² : 风险资产收益率的方差(即波动率的平方,代表风险)。

这个公式可以理解为:超额收益/ 风险。即你的投资优势(预期收益超出无风险收益的部分)越大,风险(波动)越小,你下注的比例就应该越大。

看懂了这个,就理解了当资产体量到一定程度,防守型/稳健型资产存在的必要性。纯粹进取型,甚至赌徒式搞投机的人,资产体量往往较小。

在资产稳步增长这类投资上,挺适合用凯利公式的:

目标不是短期暴富,而是避免大幅度亏损甚至破产的前提下,让资金实现最快的指数增长,即追求的是长期复利增长最大化。遵循凯利公式,长期来看大多都能超越其他任何策略;

在现实中,精确估计胜率 p 和赔率 b 极其困难,人通常会高估自己的胜率。因此,很多专业投资者会使用“半凯利”策略,即计算出的 f* 再除以2。这能在牺牲少量增长率的同时,大幅降低资金曲线的波动和破产风险。

当然,凯利公式的有效性,完全依赖于每个人对投资机会判断的准确性:一旦输入的数据(胜率和赔率)错误,结果将是灾难性的;高估了胜率,下重注,会导致快速亏损。

凯利公式主要是一个思维框架,它主要由几点构成:

第一,是在有优势时下注,没有优势时观望( f* 为负或零时不下注)。投射在股市上的具体操作,是我几乎都不去追高疯涨的个股。

第二,是优势越大(高胜率、高赔率),下注可以越重,但永远不要押上全部。具体的操作体现为:喜欢在个股基本面没有恶化的前提下,在大暴跌中买入个股,分批买入、不满仓。

第三,是风险(波动)是下注的敌人,它会限制你的仓位。波动越大,越让人无法克服恐惧,没有勇气在低位放心买入,因此做低成本/负成本和构筑防守型资产,就很有必要,会让你在投资上心态很不一样。

其实内核就一句话,也是我长期以来一直在强调的:

在追求收益和控制风险之间寻找最优平衡。本质上其实就是关于“耐心”和“投资纪律”的哲学。

追求极高的胜率-最大化p ,主要有:只投资自己能看懂的企业、不懂不做、“第一兼唯一”(即 寻找拥有强大护城河的公司)、长期持有为主,吃公司成长带来的红利复利释放…

而追求极高的赔率 - 最大化b,则体现在:在别人恐惧时贪婪(市场恐慌性抛售是提供高赔率机会的最佳时机);用4毛钱买价值1元的东西;控制好安全边际,机会来临时敢于重仓买入。

风险控制主要有:看懂公司、用闲钱投资、不满仓、慎用杠杆、留足现金、构筑好防守型资产和进取型资产的占比,整体风格稳健为主。

不频繁买卖却能取得很好的投资成绩,核心其实就一句话:

只在胜率和赔率都对自己极度有利时下重注,其他时间保持耐心。

目前市面上的投资,太流于表面,只停留在“术”这类粗浅的层面,而很少触及内核。

大多数人都没有意识到:绝大多数人都是靠运气赚的钱,应该把它放到不靠运气也能赚钱的地方,如构筑防守型和稳健型资产。

为未来撒下种子,拉长时间,耐心等待,才能继续在未来享受丰收的成果。

用我的座右铭来说:万物皆周期,任何的人和事,都不会一直在云端。在春风得意时布局,平淡了才有退路。

如此,就行了,放眼未来,然后专注于做好眼前的事,别动不动预测未来。99.9%的人连过去发生了什么都搞不清楚,更别说预测未来了。

钱是手段,而不是目的,人才是目的。做好经济保障,让人摆脱焦虑,获得时间自由,这才是财富的意义。

经济压力会直接影响家庭健康,应该稳步致富,越来越富,和人际关系的升温、递进一样。

当然,真正珍贵的终点,是深厚而有意义的人际关系。心要像伞一样,撑得起,收得住,望可望之事,待可待之人。

幸福是我们来到这世上应该追求的,它应该是一场持续且漫长的旅程,偶尔有波动,但应是持续累加,而不是持续减少。

我现在开始琢磨着,每天如何让自己变得更开心、更舒畅,感觉这样生命多了很多不同以往的意义。

专注于自身,多从自己身上找问题并解决,能让自己成长飞速。人到中年,更应如此。

有些人,自己菜鸡一个,却喜欢通过贬低他人来抬高自己。山脚的野草长不高,也会抱怨被山顶的大树挡住了它的阳光和雨水,挺丢人现眼的。

如我一年多之前所说的:

手里的金钱,只是保持自由的一种工具;

我们追求富有、地位、知识和健康,也只不过是为了不被金钱、权势、愚昧和疾病所束缚。

追求的,是自由。

就这样吧。

精选留言
26
小胖胖
小胖胖· 上海

只在胜率和赔率都对自己极度有利时下重注,其他时间保持耐心。 以前就是不明白这个,现在明白,不算太晚吧[可怜][可怜][可怜]

金渐成
金渐成作者

平时一直反复说,投资大部分时间都是等待,只有少数买卖的节点,就是这个意思。投资是一场长期的修行,什么时候明白都不晚。当然,不要等入土的前一刻才明白,那确实就太晚了[捂脸]

wilson
wilson· 广东

万事皆周期这是投资的真谛

金渐成
金渐成作者

认识到自己是个普通人,认识到万物皆周期,认识到运气造就人的成功。做到这三点,成就就低不到哪去。

春天的🐟
春天的🐟· 上海

看懂了这个,就理解了当资产体量到一定程度,防守型/稳健型资产存在的必要性。纯粹进取型,甚至赌徒式搞投机的人,资产体量往往较小。 读到这句就想到了一句话,穷要张狂,富要稳

金渐成
金渐成作者

穷得都快绝代了,光脚的不怕穿鞋的,当然张狂了。富就不敢张狂和飘,很容易就出事,守住财富,富得长久,需要不断修炼。

victoria
victoria· 广东

大多数人上升时很容易误判是自己牛逼,下降时才意识到危机

金渐成
金渐成作者

没有意识到自己是个普通人,坐在电梯里,却把它的上升当成了自己的能力,等到电梯下降时,才意识到自己的不足和不具备独特性。

方銘鋒
方銘鋒· 广东

电梯这个比喻貌似在天机奇谈出现过[悠闲]印象贼深刻的一句话:系统启动建设时,时代红利释放,会有很多所谓的中产搭乘时代的电梯上升,不要有幻觉,更不要幻梦,不是你在上升,是时代的电梯在上升。—— 打开我的小本本检索了一下[偷笑]

Louis .
Louis .· 上海

机哥早,近期正把部分科技仓位挪到伯克希尔,感觉26年波动会很大。 昨天清了白银etf

金渐成
金渐成作者

嗯,我今年做得最好最正确的,是防守型账户的构建,其中伯克希尔是很重要的一只个股。不止白银涨,伦铜也涨疯了,我准备再拿一段时间看看。

long
long· 山东

机哥去香港买保险吗

金渐成
金渐成作者

围绕离岸信托之外配置一些好的保单,之前就买好了,还没回去,在这见几位朋友,办点事。我所有的保单累积起来,保额应该是全港前20,极少数好的产品看了确实心动[破涕为笑]

🥑詹詹
🥑詹詹· 广东

能不能分享香港保险攻略,上回记得你分享过好像被删了

未命名用户
未命名用户

你可以搜历史文章《拨开云雾》和《旧事重提》,在公众号后台输入也可以,能看得到。

Lina(跳跳)
Lina(跳跳)· 上海

有术无道止于术,有道无术术可求。玑哥一直在手把手的教我们术,也一直在苦口婆心的传播道。 能掌握几分,全靠个人悟性了。

金渐成
金渐成作者

这应该是最后一篇“投资心得”了,后续的一些零零碎碎的,我就不再整理进来。

开心就好
开心就好· 广东

沙发,谢谢玑哥的早餐,最近都在蹲着老巴的公司450左右出手,请问玑哥买入后可以长期3-5年甚至更长持有吗?有些闲钱可以长期投资,又不知道买哪个,记得您说过接班人也不错😊

金渐成
金渐成作者

伯克希尔A,我持有五六年了,只在之前77.5万美元时减仓过1股,其他的都拿着,准备长期拿着。伯克希尔B持有至今没减仓过。

所谓伊人,内圣外王
所谓伊人,内圣外王· 浙江

深刻理解机哥所说的: 经济压力会直接影响家庭健康,应该稳步致富,越来越富,和人际关系的升温、递进一样。 真正珍贵的终点,是深厚而有意义的人际关系。心要像伞一样,撑得起,收得住,望可望之事,待可待之人 \---------------------- 以前的自己与人相处不懂得循序渐进,过分投入或戛然而止,折射出自己与世界的矛盾。现在已经学会收起浮躁和急切,比对方”晚做一步“,慢慢经营出更好的结果。

金渐成
金渐成作者

“贫贱夫妻百事哀”,就是经济压力直接影响了家庭健康。人是目的,而不是手段,做正确的事,做值得的事。

城市猫头鹰🦉
城市猫头鹰🦉· 江西

“先做确定性强的事,先拿到确定性强的结果”。和积小胜为大胜、滚雪球有异曲同工之妙。

金渐成
金渐成作者

饭要一口一口吃,想一下子吃成胖子的,多半会被噎死。投资,同理。

车星
车星· 北京

当然,真正珍贵的终点,是深厚而有意义的人际关系。心要像伞一样,撑得起,收得住,望可望之事,待可待之人。--写的真好,机哥的文章基本上我老公关注投资篇,我关注生活理念+育儿篇,各取所需,都受益匪浅

金渐成
金渐成作者

那我以后尽量二者均衡些[破涕为笑]

fang
fang· 上海

财产,而非良知,是自由的基础。自由就是有说不的权利[旺柴]

金渐成
金渐成作者

你敢随意说不,是不是想吃大锅饭了?[旺柴]

GG
GG

金字塔叠加法很适合做波段,今年的股市是锯齿形的。自由是不喜欢的人想不见就会看不到。真的是穷得叮当响。

金渐成
金渐成作者

挺适合我的,哈哈,用起来得心应手。你赶紧回来,村里发金条了,我都领了3根。

蒋军
蒋军· 江苏

玑哥真的是把自己的经验和心得嚼烂了揉碎了,每次都有新的收获,感谢无言以表。[抱拳] 越来越认同这句话:预取三年之利,需布五年之局,积十年之功。沉下心来,拒绝浮躁,认真思考自己的需求和目标,以终为始,日拱一卒,剩下的交给时间。

金渐成
金渐成作者

一点个人心得体会,不一定对,经验不一定适用所有人,结合自己的情况,各取所需吧。

海纳百川
海纳百川· 河南

机兄,老读者了。咱们同岁,但是透过现象看本质的能力跟您是云泥之别。生搬硬套利弗摩尔的加减仓法,在21年到23年的大A亏得只剩下裤衩。24年转战美股,结合您的金字塔加减仓法,本金回了大部分。感激不尽🙏

金渐成
金渐成作者

大A,我也踩过💩,没那么好混的。

LuLu
LuLu· 广东

入市起手就是老登为主 科技为辅,毕竟也不是求发财的 就求个稳增长 提供股息现金流

金渐成
金渐成作者

嗯,这个可以,稳一点好,富得长久。

Sunny
Sunny· 辽宁

机神又来喂饭了 去年底跟着机哥到李小姐团队那里配置了港险 年初新手上路到IB 达子没买到多少就起飞了 随后重仓了GOOLE和UNH 目前UNH下行的情况下账户收益50% 除了当初恒大未听劝阻追悔莫及 后期及时止盈了两套房产 没错我的家底是机哥给的[呲牙] 感激之情无以言表 感恩机哥让我等普通人看到世界的另一个种模样[抱拳]

金渐成
金渐成作者

你自己做得好,跟我没多大关系,感谢你自己就行。

烟岚舒展
烟岚舒展· 江苏

山脚的野草长不高,也会抱怨被山顶的大树挡住了它的阳光和雨水[强][强][强]

金渐成
金渐成作者

现在大多数人是这样,都是归因于外,很少有内视自身的。

Echo
Echo· 湖北

凯利公式很适合给孩子讲投资诶,用excel一拉就有结果

金渐成
金渐成作者

嗯,我经常拉清单给孩子们讲解利弊选择,挺好用的。

Peter Edmund陈
Peter Edmund陈

金钱是一种换取自由的工具,只有有了这种心态,才能合理的投资。 在风险低/预期收益高的时候出手,其实就是知识排斥了情绪,毕竟市场都是情绪底,要控制住自己出手靠的就是多年来形成的知识。

金渐成
金渐成作者

慢慢来吧,急也急不来,经历才是最好的老师。多经历不是什么坏事。

时代
时代· 天津

“在追求收益和控制风险之间寻找最优平衡。本质上其实就是关于“耐心”和“投资纪律”的哲学”:突然觉得投资不仅是技术,更是艺术🎨

金渐成
金渐成作者

投资操作得好,就行云流水,像一场布局的艺术。

忆海
忆海· 中国香港

第一次和机哥这么近距离,昨天还给李小姐说,去年来香港是为了办港卡,没想到今年就拖家带口来生活了[偷笑]

金渐成
金渐成作者

哈哈,你这属于做好了铺垫,过去直接落地,未雨绸缪。

友光(vfre)
友光(vfre)· 广东

这时构建自身的认知和投资体系就显得很重要了,才能在漫长的等待中不迷失方向,不知道这样理解是否合适

金渐成
金渐成作者

嗯,对。今天就翻到这,我出门去了,准备回家。